科學研究—提高非制冷紅外熱像儀測溫精度的方法
非制冷紅外熱像儀具有許多明顯的優勢,例如非接觸式測量、無損壞、溫度范圍寬、測量結果圖像化、低功耗以及良好的便攜性。近幾年,紅外熱像儀已受到越來越多的關注,成為了最廣泛的紅外溫度測量儀器之一。但是,由于探測器溫度變化的嚴重影響,其測量精度可進行進一步提升。非制冷式紅外熱像儀溫度測量精度的提高對應用領域的發展具有重要意義。
為了提高非制冷紅外熱像儀的溫度測量精度,目前已經進行了大量研究。在本研究中,通過消除溫度測量結果上紅外熱像儀的內部輻射,收集標準黑體紅外數據,建立紅外圖像像素值—黑體溫度—環境溫度和熱像儀溫度變量之間的關系,可以進一步提高精度,進而準確測量被測物體表面的絕對溫度。

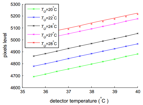
圖為不同溫度下像素值與檢測器溫度之間的關系。
具體為針對熱像儀內部輻射的影響,使用中低溫黑體爐進行實驗,提出了一種基于電壓補償的方法。首先,結合非制冷紅外熱像儀的原理,將被測物體的輻射轉換為電壓值,將電壓值轉換為灰度值,從而建立被測物體的輻射與灰度值之間的關系。其次,根據輻射量與灰度值之間的關系,建立了非制冷紅外熱像儀溫度測量模型。給出了計算物體真實表面溫度的公式。通過收集標準黑體的紅外圖像數據,可以在溫度測量公式中獲取系數(詳細理論可參考文章末尾的文獻)。最后,為驗證補償方法的正確性,進行黑體實驗。
根據實驗表明,非制冷紅外熱像儀測量溫度的最大誤差為1.1℃,平均誤差為0.61℃,最大相對誤差為4.0%。通過使用校正公式校正后顯示,非制冷紅外熱像儀測量溫度的最大誤差為0.4℃,平均誤差為0.27℃,最大相對誤差為2.0%。結果表明,校正后最大誤差和相對誤差大大減小,該方法有效,誤差控制在0.4℃以內,滿足精度要求。該研究為在精確溫度測量領域開發紅外熱像儀奠定了基礎。
參考資料:
Yu-cun Zhang, Yi-ming Chen, Cheng Luo. A method for improving temperature measurement precision on the uncooled infrared thermal imager. Measurement. 74:64-69, 2015.